Wholesale Retail Client’s

Predictive Analytics Project

~20%

HIGHER EARLY SALES (AIM + OneSource)

2,879

STORES ANALYZED

3mo

CRITICAL LAUNCH WINDOW

Tech Stack

Python · pandas · statsmodels · scikit-learn · matplotlib ·

seaborn · Excel (Pivot Tables) ·

Regression · Log-Linear OLS

+1.9%

HIGHER SHELF PERSISTENCE (Both Programs)


01. Project Overview

THE BUSINESS PROBLEM

Company A — one of the largest member-owned grocery cooperatives in the United States — introduced new products across hundreds of independently operated member stores in 2024. To support store adoption, the company operates two programs: the AIM Auto-Ship Program, which automatically distributes new items to participating stores, and the One Source Program, which provides in-store merchandising support through Acosta representatives.

The key business question was straightforward: Do these programs meaningfully improve new product performance? And if so, which program — or combination of programs — leads to faster adoption and stronger early sales after launch?

Our Focus

The critical first 3 months after a product launches — the window where shelf access decisions are made, early consumer adoption is won or lost, and program execution differences are most visible.

📦

AIM Auto-Ship

Automatically ships new company-listed products to participating stores upon launch. Removes the friction of manual ordering.

Supply-side push

VISUALIZE

Add a regression coefficient plot with error bars — showing confidence intervals around the ~20% estimate would demonstrate statistical rigor and make the uncertainty visible to technical reviewers.

Add division-level heatmap — showing which geographic regions had the highest "Both" program concentration alongside strongest launch performance would surface actionable geographic insights.

Key Insight

Early distribution speed is a leading indicator of long-term sales success. Programs that accelerate placement in the launch window create compounding advantages that are hard to close later.

The Three Programs We Compared

🤝

One Source

Places dedicated field merchandising reps in stores who help set shelves, verify distribution, and support early sell-through.

In-store execution

🌟


02. Dataset

WHAT WE WORKED WITH

Company A provided store-level sales transaction data for new product launches in 2024, along with store lists identifying which locations were enrolled in each support program. We merged, cleaned, and structured these datasets into an analysis-ready format using a five-notebook Python data processing pipeline.

The final dataset was organized at the Store × Item × Month level, enabling us to track early sales performance and product adoption during the first six months after launch.

DATA SOURCE DESCRIPTION RECORDS
Company A All Store List Master list of 2,879 member stores with division and equity codes 2,879 stores
AIM Store Lists (A & B) Stores enrolled in the AIM Auto-Ship program as of Aug 2024 150 stores
One Source Store List Stores enrolled in the One Source merchandising support program 357 stores
Item Sales Data (2024–25) Monthly sales at store × item level; fiscal year, billed quantity, extended sell Store × item × month
New Items List (Jan–Mar 2024) UPC, item code, launch month, BSP, AMAP, NET BSP, deal unit cost for new SKUs 38 new items

77%

NONE (2,234)

12.4%

ONE SOURCE (357)

5.2%

AIM (150)

Both Programs

Stores enrolled in both AIM and One Source receive automated supply plus active in-store merchandising support.

Combined approach

4.8%

BOTH (138)


03. Methodology

HOW WE ANALYZED IT

We approached the analysis through two complementary lenses: descriptive analysis to understand the overall patterns in the data, and regression modeling to isolate the true effect of program participation while controlling for product-level differences.

This dual approach was essential because the program groups were highly imbalanced. The “None” group contained roughly 15× more stores than the “Both” program group, meaning simple averages could reflect store composition rather than program effectiveness.

By applying regression controls for individual products, we ensured that comparisons were made on an equivalent product basis, allowing us to evaluate how program participation influenced sales performance for the same item across different stores.

  • Merged four raw data sources (store lists, AIM participation lists, One Source program lists, and transaction-level sales data) into a clean store × item × month panel dataset.


    Standardized store identifiers, removed duplicates, and assigned each store to a single program category (AIM, One Source, Both, or None). Rows missing critical fields were filtered out to ensure analytical reliability.

  • Analyzed product distribution across stores over the first 12 months after launch to examine how quickly each program group adopted new items.


    Used cumulative distribution curves to measure rollout speed, allowing us to compare not only final product reach but also the pace at which items appeared on store shelves.

  • Estimated a logistic regression model predicting whether a store–item pair appeared on shelves within the first 3 months of launch.


    Including item fixed effects controls for inherent product quality and popularity, isolating the program's contribution to early shelf placement.

  • Modeled log(1 + sales) during the three-month launch window using an item fixed-effects OLS regression.


    The log transformation addresses strong right-skew in the sales distribution, allowing coefficients to be interpreted as percentage differences in early sales relative to the “None” program baseline.

  • Introduced division (geographic region) and product category controls to account for regional demand differences and category-level variation.


    These controls ensure that observed sales patterns are attributed to program participation rather than underlying market or product characteristics.


04. Key Findings

WHAT THE DATA REVEALED

Both models pointed to the same consistent pattern. Stores participating in both programs performed the strongest, followed by One Source alone, then AIM alone. Across both shelf placement and early sales performance, the combined program produced the most effective new product launches.

These results remained stable even after controlling for product-level differences through item fixed effects, confirming that the observed performance differences were driven by program participation rather than inherent product popularity.

~20%

Higher Early Sales — AIM + One Source ("Both")

For the exact same product, stores enrolled in both programs generated approximately 20% more sales revenue during the first 3 months compared to stores with no program enrollment.

~15%

Higher Early Sales — One Source Alone

Stores with only the One Source in-store merchandising support still showed a statistically significant 15% lift in early sales — confirming the program's standalone value.

+1.9 pp

Better Shelf Persistence — "Both" Programs

Stores in both programs had a 1.9 percentage-point higher probability of keeping new items on shelf throughout the 3-month launch window — a reliable signal of stronger operational execution.

M3

Launch Window Is Decisive

Program differences were most pronounced in Month 3, when execution advantages compound. After Month 3, distribution levels converged across programs — confirming that programs accelerate speed, not ultimate reach.

Highly Imbalanced Groups

77% of stores are in "None." This imbalance increases variance in the smaller groups and may reduce statistical power for detecting subtle effects — though the main findings are statistically significant.

🥇 STRONGEST
AIM + One Source
~20% sales lift · +1.9pp shelf presence
🥈 STRONG
One Source Only
~15% sales lift · +1.0pp shelf presence
⚠️ WEAKEST
AIM Only / None
AIM alone lags both distribution and sales

05. Business Impact

WHAT THIS MEAN FOR THE CLIENT

The analysis provides a clear, data-backed answer to a question with real commercial implications: prioritizing the combined AIM + One Source approach would likely deliver the strongest outcomes for new product launches. Stores participating in both programs consistently achieved faster rollout and stronger early sales, suggesting that scaling the combined model could significantly improve launch performance across the network.

If you'd like, I can also show you a slightly sharper “consulting-style insight” version that tends to look even stronger in portfolio case studies.

If the goal is maximizing early sales success of new items, "Both" is the program to scale — and the data now shows exactly why.

The results are especially compelling because they control for product quality. It's not that "Both" stores carry better products — it's that the program execution itself is delivering measurably better commercial outcomes for the same products.

~20%

Sales Uplift
vs No Program

📈 Strategic Recommendation

Company A should prioritize expanding enrollment in the combined Both

program. Even One Source alone delivers strong ROI — suggesting the in-store

merchandising component is the higher-leverage investment.

🔍 Worth Investigating

AIM alone underperforms relative to expectations. This raises a key operational

question: does automated shipping without in-store support lead to

products arriving but not being properly stocked or positioned?


06. Key Visualizations

CHARTS THAT TELL THE STORY

Item Distribution Over 12 Months by Program

This chart tracks how quickly products achieve distribution across stores over time. The gray M1–M3 window highlights the critical launch phase, where the “Both” program clearly leads in early placement. After M3, all programs converge, indicating that programs primarily impact speed of rollout rather than final distribution levels.

Statistically Controlled Sales Lift vs. None Baseline

Cumulative Rollout Speed by Program

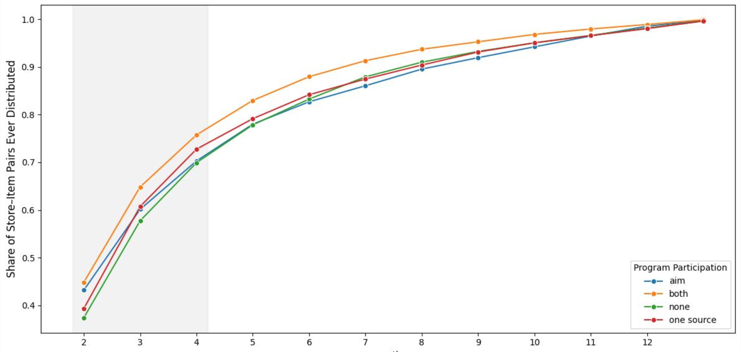
This S-curve illustrates the share of stores carrying each item over time, reinforcing differences in rollout speed across programs. The “Both” program achieves the fastest early adoption, while other programs lag behind during the initial months. By M12, all curves converge, confirming that program participation accelerates early distribution but does not affect ultimate reach.

-2 -1 0 1 2 3 1 2 3 4 5 6 aim one source both Month since launch (M1 to M6) Coefficient vs None (Δ average sales per item)

This coefficient chart translates regression results into business terms by showing estimated sales lift with confidence intervals. The “Both” program delivers the highest lift at approximately ~20%, outperforming both One Source and AIM individually. This serves as the clearest evidence supporting the combined program as the most effective strategy for early sales performance.

-10% 0% 10% 20% 30% Estimated Sales Lift vs None -4% AIM +15% One Source ~20% Both strongest estimated effect Statistically Controlled Sales Lift vs None Baseline

Cumulative Rollout Speed by Program

This coefficient chart translates regression results into business terms by showing estimated sales lift with confidence intervals. The “Both” program delivers the highest lift at approximately ~20%, outperforming both One Source and AIM individually. This serves as the clearest evidence supporting the combined program as the most effective strategy for early sales performance.

Store Program Participation Bar Chart

This chart provides essential context on program adoption across stores, showing that the majority of stores are not enrolled in any program. Because “None” dominates in volume, simple averages would be misleading without controlling for product and program effects. This distribution justifies the use of regression-based comparisons rather than raw comparisons.

2234 none 357 One Source 150 AIM 138 Both

07. Limitations & Honest Caveats

WHAT WE CAN & CAN’T CLAIM

Results Are Associational, Not Causal

Stores that opted into Both programs may have other characteristics — better management, higher volume — that also predict stronger launches. True causal inference would require a randomized experiment.


08. Project Takeaways

WHAT I LEARNED

Static Program Classification

Stores were assigned to a single program bucket based on the most recent store list. If stores joined or left programs during the year, their classification may be noisy.

Narrow Launch Window

Only Jan–Mar 2024 launches were fully analyzable (12 months of follow-up data available). Later launches had truncated post-launch windows, limiting the dataset to 38 unique new items.

Controlled comparison is everything in observational data

Without item fixed-effects, the "None" group (with 2,234 stores) looked deceptively strong simply because of volume. Regression modeling revealed the true program effect by isolating it from product-level differences.

Averages lie when groups are imbalanced — always check denominators

Using total sales would have made "None" appear dominant. Using per-store averages was the right call — but still required regression to fully control for composition effects. Data intuition matters as much as technical skill.

Real-world data requires a robust cleaning pipeline

Creating the initial data pipeline taught me how to systematically handle messy real-world data: multiple unsynchronized source files, missing store codes, items without full launch-window coverage. Building reproducible, documented code was as important as the analysis itself.

Framing findings in business language is its own skill

Translating "a positive regression coefficient of ~0.18 on the log-sales outcome" into "20% higher early sales for the same product" was a deliberate translation effort. Quantitative results only matter if the decision-maker understands them.


09. Possible Improvements

WHAT WOULD STRENGTHEN THIS PROJECT FURTHER

Include a robustness check — run the same model on a different time window (e.g., M1–M6) or different cohort of launches, and confirm the results hold. This builds credibility for technical interviewers.

STRENGTHEN

ADD

Add a regression coefficient plot with error bars — showing confidence intervals around the ~20% estimate would demonstrate statistical rigor and make the uncertainty visible to technical reviewers.

ADD

Add a GitHub link — even a cleaned version of the data pipeline notebooks (with sensitive data removed) demonstrates code quality and reproducibility — a major plus for technical roles.


10 second takeaway

I analyzed 2,879 grocery stores for a real Fortune 500-scale client, built a data pipeline in Python, and used item fixed-effects regression to prove that stores in both the AIM + One Source programs generated ~20% higher early sales on new products — the same products sold elsewhere. Clean methodology, clear business recommendation, honest about limitations.